Springe zum Hauptinhalt Skip to main navigation Skip to site search
Optimale Dämmpakete finden

Effizienz ernten bei Dämmung

Zur Ermittlung eines Grenznutzens von Dämmungen sollte der Fokus auf die äußerste Schicht, den äußersten Zentimeter gelegt werden, anstatt die Energiebilanz über das komplette Dämmpaket zu erstellen. Mit der vorgestellten Methodik lassen sich aus gesamtenergetischer Sicht sinnvolle minimale Wärmedurchgangskoeffizienten und die daraus resultierenden aus gesamtenergetischer Sicht maximal sinnvollen Dämmstoffstärken bestimmen. Ferner werden die Ergebnisse mit den diesbezüglichen Anforderungen des Gebäudeenergiegesetzes (GEG), der KfW und der Passivhausregeln verglichen, sodass gesamtenergetisch sinnvolle und weniger sinnvolle Konstellationen deutlich werden.

Verhältnis von energetischem Nutzen und Dämmaufwand klären

Die zur Herstellung, zum Transport und zur Montage sowie gegebenenfalls zur Demontage und Entsorgung benötigten Energiemengen von Baustoffen rücken zunehmend in den Mittelpunkt des Interesses, da sie angesichts abnehmender Heiz­energiemengen immer bedeutsamer für die Gesamtenergiebilanz bei gut gedämmten Gebäuden werden. Besonders bei den Dämmstoffen liegt die Frage nach dem energetischen (Einspar-)Nutzen und dem energetischen (Herstellungs-)Aufwand auf der Hand. Gilt für energiebewegte Menschen seit einiger Zeit die Regel des Mehr-ist-besser, so stellt sich aus gesamt­energetischer Sicht doch zunehmend die Frage des Grenznutzens immer weiter wachsender Dämmstärken. Völlig ungeachtet ökonomischer und ästhetischer Argumente, die völlig zu Recht ebenso als die Dämmstärke limitierenden Faktoren mit zu berücksichtigen sind.

In diesem Artikel soll es daher auch um den Begriff des Erntefaktors E von Dämmungen gehen. Er beschreibt das Verhältnis von durch Dämmung eingesparter Primärenergie zum mit der eingesetzten Dämmung verbundenen kumulierten Primärenergieaufwand des Dämmstoffs (KEA-Wert). Eine Reihe von Studien hat sich in der Vergangenheit diesem Aspekt gewidmet. Sie kommen in der Regel zum Schluss, dass sich die energetische Amortisation einer Dämmung nach nur wenigen Jahren einstellt. Die Zeit variiert je nach eingesetztem Dämmstoff und weiteren Randbedingungen wie zum Beispiel der Dicke des Dämmstoffs.

Selbst bei Dämmstärken jenseits der 20-25 cm ist die energetische Hypothek in der Regel nach ca. 2-6 Jahren abbezahlt. So kann selbst eine 25 cm dicke EPS-Schicht während der 40 Jahre Nutzungsdauer rund das 20-fache des kumulierten Energieaufwandes wieder einspielen. Obwohl diese Berechnungen selbstverständlich richtig sind, liegt ihnen dennoch eine Herangehensweise zugrunde, die zumindest kritisch diskutiert werden sollte und nachfolgend analysiert werden soll.

2 Kumulierter Primärenergieaufwand bei der Herstellung von Dämmstoffen, aufgetragen über ihre jeweilige Wärmeleitfähigkeit (Werte aus [2])

Bild: Jochum

2 Kumulierter Primärenergieaufwand bei der Herstellung von Dämmstoffen, aufgetragen über ihre jeweilige Wärmeleitfähigkeit (Werte aus [2])

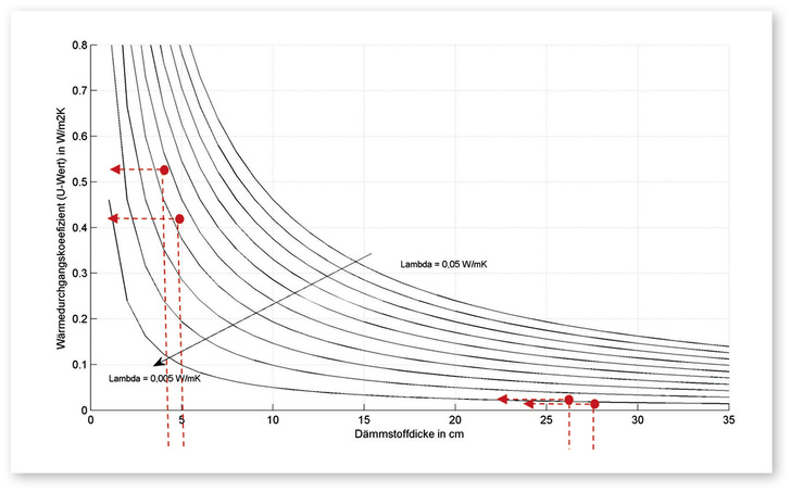
Die Physik zur Bestimmung des Wärmedurchgangskoeffizienten (U-Wert) weist bekanntermaßen einen hyperbolischen Verlauf auf, der bei sehr großen Dämmstärken (fast) in eine Sättigung übergeht. In Abb. 1 ist dieser Verlauf exemplarisch für verschiedene Wärmeleitfähigkeiten dargestellt. Deutlich sichtbar werden einerseits die reduzierten Dämmwirkungen „weiter außen“ liegender Dämmschichten gegenüber den ersten Zentimetern nahe am beheizten Bereich. Andererseits wird auch sichtbar, dass diese asymptotische Sättigung bei hochwertigen Dämmstoffen (niedrige Wärmeleitfähigkeiten) schon bei kleineren Dämmstärken erreicht wird als bei Dämmstoffen höherer Wärmeleitfähigkeit.

Die Abbildung zeigt Kurven für verschiedene Wärmeleitfähigkeiten, die von 0,05 bis 0,005 W/mK in 0,005er-Schritten variieren (unter Vernachlässigung der hier nicht weiter relevanten Wärmeübergangswiderstände an den Bauteiloberflächen sowie der Wärmedurchlasswiderstände gegebenenfalls weiterer vorhandener Bauteilschichten). Die heute üblichen Dämmstoffe weisen Wärmeleitfähigkeiten zwischen 0,022 und 0,045 W/mK auf.

Wie zuvor gesagt, wird zwar die energetische Hypothek des Dämmstoffs in der Regel durch seine Dämmwirkung erfolgreich abbezahlt. Wie Abb. 1 zeigt, geschieht dieses aber vor allem durch die hochwirksamen innen liegenden Schichten des Dämmstoffs. Viel interessanter erscheint daher die Frage nach dem einen letzten, außen liegenden Zentimeter Dämmstoff, dessen Einsatz gesamtenergetisch noch sinnvoll ist. Der Bezug auf einen Zentimeter ist aus pragmatischen Gründen gewählt worden, ist im Grunde aber willkürlich.

Denn auch wenn sich die Gesamtbilanz über das vollständige Dämmpaket positiv darstellt, so kann es dabei immer noch sein, dass die ersten, „guten“ Zentimeter die letzten, „schlechten“ Zentimeter wieder gutmachen und der Eindruck eines stimmigen Gesamtpakets entsteht, obwohl energetisch unsinnige „letzte“ Zentimeter eingesetzt wurden. Es gilt also, den letzten gesamtenergetisch sinnvollen Zentimeter eines Dämmpakets zu identifizieren. Eine weitere Erhöhung der Dämmstärke über die so definierte Dämmstärke hinaus, macht aus gesamtenergetischen Gründen keinen Sinn.

Eine derartige Begrenzung der Dämmstärke wird sich außerdem positiv auf die Kosten, die Nutzfläche (Annahme: reduzierte Wandstärke, gleiches Bruttogebäudevolumen) und gegebenenfalls auch die Gesamtästhetik eines Gebäudes auswirken. Der oben bereits benannte Erntefaktor wird hier demnach ausschließlich auf den letzten Zentimeter der Dämmung bezogen. Er hat im Grenzfall des Energiegleichgewichts den Wert 1. 

Gl. 1

Gl. 1

Der kumulierte Energieaufwand von Dämmstoffen

Der primärenergetische Rucksack von Dämmstoffen unterliegt naturgemäß je nach Methodik und Erscheinungsjahr diesbezüglicher Veröffentlichung gewissen Schwankungen. Vor allem das Veröffentlichungsjahr entsprechender Quellen hat gerade in Zeiten des aktiven Umbaus der deutschen Energieversorgung großen Einfluss auf die den Produktionsprozessen zugrunde liegenden Primärenergieeinsätze. Auch Weiterentwicklungen der Herstellungsprozesse, wie zum Beispiel aktuell die der Holzfaserdämmstoffe [1], können großen Einfluss auf den KEA-Wert nehmen. Ferner kann der Aspekt der nicht immer ganz geklärten Nachnutzung, sei es stofflich oder thermisch, bedeutsamen Einfluss auf die Höhe des KEA-Wertes ­haben.

Es soll aber nicht primär um einen Literatur- und Wissens­überblick der KEA-Werte von Dämmstoffen gehen. Es geht vielmehr um die Darstellung einer Methodik, welchen Einfluss diese Werte auf die maximal sinnvolle Dämmstärke haben. Ist die Methodik bekannt, so können im Einzelfall passende Werte für den kumulierten Energieaufwand eingesetzt werden.

Der energetische Rucksack bewegt sich bis auf wenige Ausnahmen bei den heute üblichen Dämmstoffen in der Größenordnung von 100 bis 1000 kWh/m³, zum Beispiel gemäß [2]. Abb. 2 zeigt sie als Funktion ihrer Wärmeleitfähigkeit.

Die Abbildung zeigt eine Ballung der zum Einsatz kommenden Dämmstoffe bei Wärmeleitfähigkeiten von 0,03 bis 0,05 W/mK. Auf der Ordinate ist der Primärenergieaufwand pro m³ Dämmstoff aufgetragen. Der Anschaulichkeit halber werden die Werte nachfolgend auf 1 m² und auf eine Schichtdicke von 1 cm bezogen, sodass sich Werte für qgr.E, je cm von 1 bis 10 kWh/(m² cm) ergeben.

Nun gilt es, die Energie einsparende Wirkung eines Zentimeters Dämmstoff mit dessen KEA-Wert zu vergleichen. Hierzu ist die Einbaulage einer zu betrachteten 1 cm dicken Dämmstoffschicht zu ermitteln. Die Dämmwirkung dieser Schicht sollte ihren KEA-Wert übertreffen, ansonsten erhält man ein negatives Ergebnis. Während der Nutzungsdauer muss demnach die letzte äußere Lage mindestens einen Einsparwert von 1 bis 10 kWh/(m² cm) gedämmter Fläche aufweisen.

Berechnungsgrundlage

Die primärenergetische Dämmwirkung des letzten sinnvollen Zentimeters ergibt sich unter anderem aus der Differenz der Dämmwirkung des vorletzten zum letzten Zentimeter. In Analogie zu den Regeln der DIN 4108 und der DIN 4701-10 kann demnach unter Zuhilfenahme der Nutzungsdauer n, der Gradtagszahl Gt und der Anlagenaufwandszahl ep der primärenergetische Nutzen bestimmt werden. Der Transmissionswärmestrom ergibt sich aus

Gl. 2

Gl. 2

Betrachtet man einen beliebigen Quadratmeter und bezieht die Transmissionswärme auf die Differenz zwischen zwei Dämmzuständen, so ergibt sich

Gl. 3

Gl. 3

Summiert man diese Verlustwärmeströme unter Verwendung der Gradtagszahl Gt auf, so ergibt sich für die Änderung der Jahresverlustwärme zwischen zwei Dämmzuständen mit

Gl. 4

Gl. 4

beziehungsweise unter Verwendung der Anlagenaufwandszahl ep die primärenergetische Wirkung zwischen zwei Dämmzuständen

Gl. 5

Gl. 5

Berücksichtigt man nun noch die Nutzungsdauer n der Dämmung, so kann der primärenergetische Nutzen einer Dämmschicht, hier die des letzten Zentimeters, bestimmt werden: 

Gl. 6

Gl. 6

Durch Gleichsetzung mit dem KEA-Wert sowie nachfolgender Ableitung und Auflösung nach der gesuchten, aus energetischer Sicht maximal sinnvollen Dämmstärke erhält man

Gl. 7

Gl. 7

mit Rvorhanden als dem vor Aufbringen der hier zu bestimmenden Dämmstärke bereits vorhandenem Wärmedurchlasswiderstand des Bauteils und mit qgrE,1 m³ für den KEA-Wert des ausgesuchten Dämmstoffs.

Für den minimal (sinnvoll) erreichbaren U-Wert ergibt sich dann 

Gl. 8

Gl. 8



Beachtenswert ist, dass Umin unabhängig von der Dämmstoffstärke und dem bereits vorliegenden Dämmwirkungen eines gegebenenfalls vorhandenen tragenden Bauteils ist. Die Details der Herleitung können [3] entnommen werden. Zum Verständnis der Gleichungen 7 und 8 erscheint eine Diskussion der verwendeten Eingangsgrößen sinnvoll.

Die Nutzungsdauer n

In den meisten Fällen dürfte eine Prognose der Nutzungsdauer eines Dämmmaterials sehr schwierig zu erstellen sein. Übliche Werte liegen wahrscheinlich zwischen 20 und 50 Jahren. Niedrige Werte kämen gegebenenfalls bei einer heute schon vorstellbaren Umnutzung oder einem Abriss eines Gebäudes oder bei einem absehbaren Austausch der Dämmung anlässlich einer dann geplanten erweiterten energetischen Sanierung zum Tragen.

Hohe Werte um 40 bis 50 Jahre sind beispielsweise bei Dämmungen gegen Erdreich vorstellbar. Werte um 30 bis 45 Jahren werden bei üblichen Außenwanddämmungen oder Flachdachdämmungen halbwegs realistisch sein. Prognosen sind tatsächlich von individuellen und oftmals subjektiven Eindrücken geprägt.

Die Gradtagszahl Gt

Die Gradtagszahl (in kKh) nach VDI 3807 ist ein Maß für die während einer Heizperiode von der Heizungsanlage abzudeckenden Temperaturdifferenzen zwischen innen und außen, die mit der jeweiligen Auftretensdauer dieser Temperaturdifferenz multipliziert und für ein Kalenderjahr aufaddiert wird. Mit der Festlegung einer konstanten Innentemperatur von in der Regel 20 °C hängt die Gradtagszahl von der Länge der Heizperiode und den vorliegenden Außentemperaturen am Standort ab.

Die Länge der Heizperiode ergibt sich aus der Heizgrenztemperatur, ab der die Heizperiode im Herbst beginnt und im Frühjahr wieder endet. Übliche Heizgrenztemperaturen liegen für den Gebäudebestand bei 15 °C, bei sanierten Altbauten bei 12 °C und bei Passivhäusern bei 10 °C. Die entsprechenden Werte beispielsweise für den Standort Potsdam liegen im langjährigen Mittel bei 3409 Kd (= 81,8 kKh) für den Bestand, bei 3442 Kd (= 82,6 kKd) für sanierte Altbauten und für Passivhäuser bei 3187 Kd (= 76,5 kKh).

Der Mittelwert der letzten 20 Jahre würde dagegen für sanierte Altbauten in Potsdam auf einen Wert von ca. 2900 Kd (= 69,6 kKh) führen. Angesichts steigender Lufttemperaturen der letzten Dekaden und angesichts des Umstandes, dass es sich bei der Grenzwertbetrachtung zwingend um gut bis sehr gut gedämmte Gebäude handelt, wird bei den nachfolgenden Analysen ein Wert von 70 kKh zur Veranschaulichung verwendet.

Die Anlagenaufwandszahl ep

Um den tatsächlichen primärenergetischen Vorteil des Einsatzes von Dämmstoffen beurteilen zu können, ist eine Betrachtung der das betreffende Gebäude versorgenden Haustechnik unumgänglich. Besonders deutlich wird dies bei der theoretischen Vorstellung, dass ein vollständig erneuerbar versorgtes Gebäude gedämmt werden soll. Welche fossile Primärenergie sollte in diesem Fall eine Dämmung einsparen können? Analog würde sich die Dämmung eines ineffizient mit fossiler Energie beheizten Gebäudes besonders rentieren. Hier könnte die Dämmung viel Primärenergie einsparen helfen.

Die Anlagenaufwandszahl gemäß DIN 4701-10 beschreibt das Verhältnis der benötigten Primärenergie zur erzeugten Nutzwärme und berücksichtigt dabei Kennwerte der Anlagentechnik. So werden die eingesetzten Brennstoffe, die Verluste bei der Wärmegewinnung in der Heizungsanlage, aber auch die Verluste von Speicherung, Verteilung und Übergabe der Wärme in dieser Kennzahl vereint. Je höher der erneuerbare Anteil an der Energiebereitstellung, umso kleiner ist die Anlagenaufwandszahl.

Eine (theoretisch) perfekte Heizungsanlage mit einem kompletten Umwandlungsnutzungsgrad von 1 auf Basis von Erdgas oder Erdöl würde einen ep-Wert von 1,1 aufweisen, was dem Primärenergiefaktor von Erdgas oder Erdöl entspräche. Das bundesdeutsche Mittel im Gebäudebestand liegt derzeit gemäß eigener Abschätzungen bei rund 1,2 bis 1,3.

Bedingt durch die gegenüber der Gebäudedämmung stark verkürzten Sanierungszyklen von Heizungsanlagen – sie weisen eine Nutzungsdauer von 15 bis 20 Jahren, selten 25 Jahren auf – muss auf eine Besonderheit hingewiesen werden. Bei einer angenommenen mittleren Austauschrate von Heizungen von 20 Jahren ist es sicher, dass die Heizung während der Nutzungszeit der Dämmung mindestens einmal ausgetauscht oder modernisiert werden wird. In Zeiten der Energiewende ist davon auszugehen, dass der ep-Wert mit jeder Heizungsmodernisierung abnehmen wird. Hier lassen sich Gedankenspiele ansetzen, wie hoch wohl der übliche ep-Wert in der Zukunft ausfallen wird. Die genauen Werte kommen dem Blick in die Glaskugel gleich, jedoch lassen sich richtungsweisende und eingrenzende Annahmen treffen.

Grundsätzlich macht es Sinn, eine Ersatz-Anlagenaufwandszahl ep* einzuführen. Sie berücksichtigt die vorhandene ep,ist der bestehenden Heizungsanlage, die vermutlich im Jahr x nach der Dämmmaßnahme ausgetauscht wird. Ab dann besitze sie die Anlagenaufwandszahl ep,Zukunft. Die Größe n beschreibt wie zuvor die Nutzungsdauer der Dämmung.

Gl. 9

Gl. 9

Fraglich ist an dieser Stelle, auf welchen ep,Zukunft-Wert die Heizungsanlage umgestellt werden wird. Der Wert hängt auch vom Zeitpunkt der Umrüstung ab und damit von dem dann vorherrschenden üblichen Stand der Technik, welcher beispielsweise aus dem CO2-Preis, den rechtlichen und nunmehr auch geopolitischen Vorgaben oder technologischen Entwicklungen resultiert. Es ist zu vermuten, dass sich der marktübliche ep-Wert für Neuanlagen in den kommenden Dekaden stark reduzieren wird.

Für einen besonders kleinen ep-Werte, der ja im Extremfall gleich Null sein könnte, gilt es eine Besonderheit zu beachten. Dem Modell zufolge würde die Dicke der Dämmung auch den Wert Null annehmen. Natürlich gilt ein sich aus den Mindestanforderungen der DIN 4108 oder auch den aus sonstigen Planungsvorgaben beabsichtigten raumseitigen Oberflächentemperaturen ergebender Minimalwert für die Dämmung.

3 Durch die Dämmung eingesparte Energie und resultierender Erntefaktor des letzten Zentimeters in Abhängigkeit der Dämmstärke für zwei typische Situationen, die sich durch die Anlagenaufwandszahl unterscheiden.

Bild: Jochum

3 Durch die Dämmung eingesparte Energie und resultierender Erntefaktor des letzten Zentimeters in Abhängigkeit der Dämmstärke für zwei typische Situationen, die sich durch die Anlagenaufwandszahl unterscheiden.

Der Erntefaktor E

Ein Erntefaktor von 1 bedeutet, dass die Energiebilanz des letzten Zentimeters der Dämmung ausgeglichen ist. Das heißt, dieser hat bis zum Ablauf der Nutzungsdauer der Dämmung genau wieder seinen KEA-Wert eingespielt. Die Frage lautet, wie effizient ein letzter Zentimeter sein sollte, um nicht nur rechnerisch nach Ablauf der Nutzungsdauer der Dämmung energetisch sinnvoll zu sein, sondern auch tatsächlich das magische Dreieck bestehend aus den notwendigen Anstrengungen zum Klimaschutz, der ökonomischen Ausgeglichenheit und den tolerierbaren Einschränkungen des Erscheinungsbildes von Gebäuden zu erfüllen? Selbst bei noch so hohen Ambitionen beim Klimaschutz leuchtet es schnell ein, dass besagter letzter Zentimeter trotz guter Absicht letztendlich keinen Beitrag zum Klimaschutz leisten kann. Unabhängig davon kann er aber ökonomisch oder für den öffentlich-rechtlichen „Dämmnachweis“ für das GEG oder für diverse Fördermechanismen dennoch (vermeintlich) sinnvoll sein.

So ist es zweckdienlich, sich die oben beschriebene Spanne
der flächenspezifischen KEA-Werte pro cm Dämmschicht in Erinnerung zu rufen. Sie betragen je nach Dämmstoff rund 1 bis 10 kWh/(m²cm). Zur konkreten Veranschaulichung soll der Wert für EPS mit 6 kWh/(m²cm) verwendet werden. Der mit einem Erntefaktor von 1 bestimmte letzte Zentimeter wird genau besagte 6 kWh/m² wieder einspielen. Eine mit einem Erntefaktor von 2 bestimmte Maximallage wird demnach nach Ende der Nutzungsdauer 12 kWh/m² eingespart haben, demnach bilanziell einen Gewinn von 6 kWh/m² gegenüber dem letzten Zentimeter einer Planung mit E=1 gemacht haben.

Abb. 3 zeigt zwei unterschiedliche Verläufe für die Reduzierung der Wärmeverluste in Abhängigkeit der gewählten Dämmstärke beziehungsweise des gewählten Erntefaktors E. Welcher Erntefaktor im Rahmen der Planung gewählt wird, ist im Einzelfall zu entscheiden. Deutlich wird an den beiden Beispielen, dass Erntefaktoren von rund 3 zu geringeren Gesamteinsparungen von nur ca. 5 % gegenüber der maximal möglichen Einsparung führen. Zu wählende Planungswerte für den Erntefaktor werden vermutlich daher in der Größenordnung von 1,5 bis 4 liegen. In der beispielhaften Abb. 3 lässt sich auch die mit der Zunahme des E-Wertes verbundene immense Dickenreduktion der Dämmung ablesen. Sie sinkt bei einem Erntefaktor von 3 von 32 auf 18 cm (obere Abbildung, Anlagenaufwandszahl 1,0) bzw. von 22 auf 11 cm (untere Abbildung, Anlagenaufwandszahl 0,5).

4 Übersicht über vier Standardanwendungsfälle

Bild: Jochum

4 Übersicht über vier Standardanwendungsfälle

Wärmedurchlasswiderstand ohne Dämmung Rvorhanden

Je nach Konstruktionsart und Anwendungsfall wird das zu dämmende Bauteil bereits einen nennenswerten Wärmewiderstand aufweisen. Dies können beispielsweise Wärmeübergangswiderstände sein, welche gegebenenfalls aus dem Widerstand eines tragenden Bauteils resultieren oder es könnte auch bereits eine Altdämmung vorhanden sein.

Zusammenstellung der ­Anwendungsfälle

Abb. 4 weist für ep ≠ 0 vier grundsätzliche Anwendungsfälle mit den jeweiligen Bestimmungsgleichungen für dmax und Umin aus. Diese können nach einigen Umformungen aus obigen Ansätzen hergeleitet werden.

5 Minimale U-Werte für verschiedene Konstellationen der Randbedingungen (für ep = 0 wurde Rmin der DIN 4108 für Außenwände mit 1,2 m²K/W zugrunde gelegt; als Umin wurde das übliche ökonomische Minimum von 0,1 W/m²K gewählt). Farblegende: grün = sehr gute Werte bis ca. Stand GEG, orange = ca. Stand WSchV84 bzw. DIN 4108

Bild: Jochum

5 Minimale U-Werte für verschiedene Konstellationen der Randbedingungen (für ep = 0 wurde Rmin der DIN 4108 für Außenwände mit 1,2 m²K/W zugrunde gelegt; als Umin wurde das übliche ökonomische Minimum von 0,1 W/m²K gewählt). Farblegende: grün = sehr gute Werte bis ca. Stand GEG, orange = ca. Stand WSchV84 bzw. DIN 4108

Relevanz für übliche Effizienz­kriterien

Üblicherweise sind die U-Werte aller Bauteile der thermischen Hülle eines Gebäudes nach unten ohnehin durch eine ökonomische Grenze limitiert. Sie liegt bei ca. 0,1 W/m²K wie unter anderem in [4] ermittelt wurde. Nach oben hin ist der U-Wert durch die Mindestvorgaben der DIN 4108 beschränkt. Für eine luftberührte Außenwand schreibt sie beispielsweise einen minimalen Wärmedurchlasswiderstand von 1,2 m²K/W vor, was unter Berücksichtigung der Wärmeübergangswiderstände einem U-Wert von 0,73 W/m²K entspricht.

Innerhalb dieser Wertespanne von 0,1 bis 0,73 W/m²K bieten Regelwerke wie das GEG, die Förderbedingungen der KfW oder die Planungsrichtlinien zum Passivhausbau weitere einzuhaltende Kriterien, die zu U–Werten oftmals zwischen 0,15 und 0,3 W/m²K führen. Allerdings stellt eine Fokussierung auf bestimmte, innerhalb dieser Regelwerke festgelegte oder zumindest angeratene U-Werte für den Fall stark sinkender Anlagenaufwandszahlen unter Umständen tatsächlich eine zu hinterfragende Vereinfachung dar, was nachfolgend überprüft werden soll.

Die Vielzahl der in der oben eingeführten Gl. 8 enthaltenen Variablen machen eine Verdeutlichung der Ergebnisse nicht ganz einfach. Die folgenden Tabellen versuchen einen Überblick über die Resultate für unterschiedliche Randbedingungen zu geben.

Die Beispielberechnungen machen die für energiebewusste Planerinnen und Planer ungewohnt hohen U-Werte in den eher ungünstigen Konstellationen (Abb. 5) deutlich. Diese weisen erwartungsgemäß niedrige Anlagenaufwandszahlen und Nutzungsdauern und hohe Wärmeleitfähigkeiten, spezifische graue Energien und Erntefaktoren auf.

Am Beispiel der Bauteile Außenwand und Dach des GEG-Referenzgebäudes, die U-Werte von 0,28 W/m²K beziehungsweise 0,2 W/m²K aufweisen, werden in Abb. 6 die gesamtenergetisch sinnvollen Kombinationen im Kontext des GEG gezeigt. Überaus deutlich wird der Einfluss der grauen Energie des Dämmstoffs hinsichtlich der Frage inwieweit sich die GEG-Referenzwerte gesamtenergetisch sinnvoll umsetzen lassen. Sofern es sich nicht um extrem niedrige Anlagenaufwandszahlen handelt, lässt sich aber in der Regel – zumindest bei den oben angesetzten Randbedingungen – eine sinnvolle Umsetzung der Vorgaben finden. Führt man die analoge Darstellung, nun aber mit den entsprechenden farblichen Markierungen für die Einzelförderung des KfW-Programms 152/430 durch, so ergeben sich die folgenden zulässigen Bereiche. Für die Außenwand liegt nun der Anforderungswert bei 0,2 W/m²K und für die Dachdämmung bei 0,14 W/m²K.

Abb. 7 und Abb. 8 lassen den Schluss zu, dass alle dunkelorange markierten Bereiche genaugenommen (gesamt-)energetisch nur schlechtere U-Werte zulassen als den Förderbedingungen beziehungsweise Zielvorgaben zufolge realisiert werden müssen. Lediglich für die grün dargestellten Randbedingungenkonstellationen würden die Zielvorgaben auch volkswirtschaftlich gesehen energetische Vorteile ermöglichen. Anders gesagt: Die an die derzeitigen hohen U-Wert-Anforderungen geknüpfte finanzielle Förderung von Bauteildämmungen bietet in vielen Fällen nur bei entsprechend schlechten Heizungsanlagen die Chance einer maximalen Energieeinsparung.

Zum Abschluss seien die analogen Tabellen für ein nach den Passivhausregeln zu errichtendes Gebäude gezeigt. Der Anforderungswert liegt für alle opaken Außenbauteile bei 0,15 W/m²K. In diesem Vergleich wird noch einmal umso mehr deutlich, wie sich der „zulässige“ grüne Bereich wiederum in Abhängigkeit aller genannter Variablen einengt. Gerade in Anbetracht der bei Passivhäusern häufig auftretenden besonders niedrigen Anlagenaufwandszahlen engt sich die „zulässige“ Materialauswahl für die noch verwendbaren Dämmstoffe zusehends ein beziehungsweise kann sehr schnell zu gesamtenergetisch unvorteilhaften technischen Lösungen führen.

Verwendete Formelzeichen

d Dicke des Dämmstoffs in m oder cm

E Erntefaktor (dimensionslos) des letzten Zentimeters

ep Anlagenaufwandszahl gemäß DIN 4701-10

Gt Gradtagszahl nach DIN 4108 in kKd/a oder Kd/a

λ Wärmeleitfähigkeit in W/mK

n Nutzungsdauer in a

qp flächenspezifische Primärenergie in kWh/m²

qgr E, 1 m³ kumulierter Primärenergieaufwand (hier = graue Energie) für 1 m³
Dämmstoff

qt flächenspezifischer Transmissionswärmeverlust in W/m²

T Temperatur in °C

U Wärmedurchgangskoeffizient in W/m²K

R Wärmedurchlasswiderstand in m²K/W

Literatur

[1] Borsch-Laaks R., Wieviel Grau enthält Grün, Gebäude Energieberater, 01/2020

[2] Wind, G., Heschl, Ch., Graue Energie - ein wesentlicher Faktor zur Energie­optimierung von Gebäuden, Fachhochschule Burgenland GmbH, Pinkafeld, ­Österreich, 2008

[3] Jochum, P., Einfluss von Erntefaktor und Dämmindex auf die aus gesamt­energetischer Sicht maximal sinnvolle Dämmstärke, Bauphysik 2016

[4] Beuth Hochschule, IFEU. (2015). Dämmbarkeit des deutschen Gebäudebestands – Dämmpotenziale. Berlin, https://prof.bht-berlin.de/jochum/forschung/?L=0

6 Gesamtenergetisch minimal zulässige U-Werte im Vergleich mit den Werten des Referenzgebäudes des GEG (für ep = 0 wurde Rmin der DIN 4108 für Außenwände mit 1,2 m²K/W zugrunde gelegt; als Umin wurde das übliche ökonomische Minimum von 0,1 W/m²K gewählt). Farblegende: grün = besser als GEG-Ref.geb. GEG Dach (= 0,2 W/m²K), hellorange = zwischen 0,2 und 0,28 W/m²K, dunkelorange = höher als Ref.geb. GEG Außenwand (= 0,28 W/m²K)

Bild: Jochum

6 Gesamtenergetisch minimal zulässige U-Werte im Vergleich mit den Werten des Referenzgebäudes des GEG (für ep = 0 wurde Rmin der DIN 4108 für Außenwände mit 1,2 m²K/W zugrunde gelegt; als Umin wurde das übliche ökonomische Minimum von 0,1 W/m²K gewählt). Farblegende: grün = besser als GEG-Ref.geb. GEG Dach (= 0,2 W/m²K), hellorange = zwischen 0,2 und 0,28 W/m²K, dunkelorange = höher als Ref.geb. GEG Außenwand (= 0,28 W/m²K)
7 Gesamtenergetisch minimal zulässige U-Werte für KfW-Einzelmaßnahmenförderung (für ep = 0 wurde Rmin der DIN 4108 für Außenwände mit 1,2 m²K/W zugrunde gelegt; als Umin wurde das übliche ökonomische Minimum von 0,1 W/m²K gewählt). Farblegende: grün = niedriger als Kriterien der KfW-Einzelmaßnahmenförderung (Prg. 152/340) für Dächer (0,14 W/m²K), hellorange = zwischen 0,14 und 0,2 W/m²K, dunkelorange = höher als Kriterien der KfW-Einzelmaßnahmenförderung (Prg. 152/340) für Außenwände (0,2 W/m²K)

Bild: Jochum

7 Gesamtenergetisch minimal zulässige U-Werte für KfW-Einzelmaßnahmenförderung (für ep = 0 wurde Rmin der DIN 4108 für Außenwände mit 1,2 m²K/W zugrunde gelegt; als Umin wurde das übliche ökonomische Minimum von 0,1 W/m²K gewählt). Farblegende: grün = niedriger als Kriterien der KfW-Einzelmaßnahmenförderung (Prg. 152/340) für Dächer (0,14 W/m²K), hellorange = zwischen 0,14 und 0,2 W/m²K, dunkelorange = höher als Kriterien der KfW-Einzelmaßnahmenförderung (Prg. 152/340) für Außenwände (0,2 W/m²K)
8 Gesamtenergetisch minimal zulässige U-Werte für Passivhäuser (für ep = 0 wurde Rmin der DIN 4108 für Außenwände mit 1,2 m²K/W zugrunde gelegt; als Umin wurde das übliche ökonomische Minimum von 0,1 W/m²K gewählt). Farblegende: grün = niedriger als Passivhauskriterium Umax = 0,15 W/m²K

Bild: Jochum

8 Gesamtenergetisch minimal zulässige U-Werte für Passivhäuser (für ep = 0 wurde Rmin der DIN 4108 für Außenwände mit 1,2 m²K/W zugrunde gelegt; als Umin wurde das übliche ökonomische Minimum von 0,1 W/m²K gewählt). Farblegende: grün = niedriger als Passivhauskriterium Umax = 0,15 W/m²K

Für schnelle Leser:innen

Die im Beitrag vorgestellte Methodik erlaubt einen detaillierten Vergleich der grauen Energie eines Dämmstoffs und seines wärmedämmenden Nutzens. Sie basiert auf dem Ansatz der lageabhängigen Analyse einzelner dünner (gedachter) Dämmschichten, die aneinander geschichtet die gesamte Dämmstoffstärke ergeben. Hierzu wird der Erntefaktor des letzten Zentimeters eingeführt. Er beschreibt das Verhältnis des energetischen Nutzens zum energetischen Aufwand der jeweils äußersten Dämmschicht.

Der Erntefaktor der äußersten Dämmschicht sollte größer 1 sein. Zwar könnten auch dickere gesamtenergetisch sinnvolle Dämmpakete realisiert werden. Bei diesen würden dann aber innen liegende, besonders effiziente Dämmlagen, die nicht rentablen äußeren Dämmlagen wieder ausgleichen. Im Kontext der zu optimierenden Gesamteffizienz, aber insbesondere angesichts ästhetischer Grenzen dicker Dämmpakete, sollte sich die Kosten-Nutzen-Bilanz aber bevorzugt auf die äußerste Lage beziehen.

Die Methodik macht deutlich, dass eine alleinige Fokussierung auf U-Werte beziehungsweise Dämmstärken bei der Gebäudedämmung nicht zielführend ist. Vielmehr sind wichtige Randbedingungen zu berücksichtigen, die über die Zweckmäßigkeit der angestrebten U-Werte entscheiden. Im Wesentlichen sind der KEA-Wert der Dämmung sowie die während der Nutzungsdauer der Dämmung zu erwartende Anlagenaufwandszahl des Heizungssystems einzubeziehen.

Patrick Jochum
ist Professor an der Berliner Hochschule für Technik im Fachbereich Architektur und Gebäudetechnik,

Bild: BHT Berlin

Jetzt weiterlesen und profitieren.

Mit unserer Future Watt Firmenlizenz top informiert und immer auf dem neuesten Wissenstand in ihrem Fachgebiet.

+ Unbegrenzter Zugang zu allen Future Watt Inhalten
+ Vergünstigte Webinarteilnahme
+ E-Paper Ausgaben
+ Sonderhefte zu speziellen Themen
+ uvm.

Wir haben die passende Lizenz für Ihre Unternehmensgröße!

Mehr erfahren

Tags