Springe zum Hauptinhalt Skip to main navigation Skip to site search
Luftdurchlässigkeitsmessungen in sehr dichten Gebäuden

Dichtes Ding braucht Weile

In den vergangenen Jahrzehnten hat sich die Luftdichtheit als notwendige und wichtige Eigenschaft der Gebäudehülle etabliert. Das umfangreiche Wissen über die Herstellung einer hochwertigen Luftdichtheitsschicht ermöglicht heute gut planbare und umsetzbare niedrige Luftdurchlässigkeiten. Große Gebäude mit besonderen Luftdichtheitsanforderungen, wie beispielsweise Lagerhallen für Chemikalien oder Lebensmittel mit Anlagen zur Sauerstoffreduktion, erreichen bei 50 Pascal oftmals Luftwechselraten kleiner 0,03 h-1, Passiv-​häuser und Wohnungen zeigen häufig n50-Werte deutlich unter 0,6 h-1.

Der übliche Ablauf einer Luftdurchlässigkeitsmessung stößt dabei an seine Grenzen, denn eine bislang wenig benötigte Eigenschaft ist für die Durchführung einer Messung in sehr dichten Gebäuden erforderlich: Geduld! Häufig unbekannt ist, dass der Druckaufbau der einzelnen Messpunkte einer Messreihe in Gebäuden mit einer außergewöhnlich guten Luftdichtheit wesentlich mehr zeit benötigt als gewohnt. Im Folgenden wird gezeigt, wie der Druckaufbau in der Praxis aussieht und wie es gelingt, wiederholbare und somit belastbare Messergebnisse zu erzielen.

Messdauer ermitteln

Bei der Luftdurchlässigkeitsmessung von Objekten mit sehr kleinen Luftwechselraten (n50-Werte < 0,6 h-1) dauert der Aufbau eines stabilen und konstanten Differenzdrucks zwischen dem Gebäudeinneren und Außen länger als gewöhnlich. Wird bei der Aufnahme einer Messreihe diese längere Wartezeit für den Druckaufbau der einzelnen Messpunkte nicht berücksichtigt, besteht die Gefahr von Messfehlern. Anzeichen hierfür können eine starke Streuung der Messpunkte sein, obwohl kein oder nur wenig Wind den Messablauf stört, oder der wiederholte Abbruch einer automatisch geregelten ­Messung.

Um den Verlauf des Druckaufbaus sichtbar zu machen, hat der Messtechnikspezialist Blower Door aus Springe Blower-Door Messungen bei diversen Gebäuden mit kleinen und extrem kleinen Luftwechselraten mit dem Datenlogger-Programm Teclog durchgeführt. Das Programm zeichnet Gebäudedruckdifferenzen und Volumenströme sekündlich in Echtzeit auf. Anhand der Kurvenverläufe lässt sich die Dauer des Druckaufbaus leicht nachvollziehen. Dadurch ist es möglich, auf besondere Messsituationen umgehend zu reagieren.

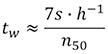
1 Die grüne Kurve zeigt den Verlauf der Gebäudedruckdifferenz, die rote Kurve den Gebläsedruck am Messgebläse, aus dem sich der Volumenstrom in Abhängigkeit von der Messblende ergibt. Auf der waagerechten Zeitachse läuft während der Messung die Uhrzeit mit. Die y-Achse zeigt die Druckdifferenz in Pascal. Es dauert etwa 300 Sekunden bis sich ausgehend von null Pascal Anfangsdruck ein Gebäudedruck von 50 Pascal aufgebaut hat (grüne Kurve von ca. 9:51 bis 9:56 Uhr).

Bild: Blower Door

1 Die grüne Kurve zeigt den Verlauf der Gebäudedruckdifferenz, die rote Kurve den Gebläsedruck am Messgebläse, aus dem sich der Volumenstrom in Abhängigkeit von der Messblende ergibt. Auf der waagerechten Zeitachse läuft während der Messung die Uhrzeit mit. Die y-Achse zeigt die Druckdifferenz in Pascal. Es dauert etwa 300 Sekunden bis sich ausgehend von null Pascal Anfangsdruck ein Gebäudedruck von 50 Pascal aufgebaut hat (grüne Kurve von ca. 9:51 bis 9:56 Uhr).
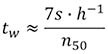
2 zeitlicher Verlauf des Druckaufbaus von 70 auf 50 Pascal Gebäudedruck für unterschiedliche Luftwechselraten bei 50 Pascal [1]

Bild: Blower Door

2 zeitlicher Verlauf des Druckaufbaus von 70 auf 50 Pascal Gebäudedruck für unterschiedliche Luftwechselraten bei 50 Pascal [1]

Beispiel aus der Praxis veranschaulicht ­Druckaufbau

An einer Lagerhalle für Kräuter, die eine Anlage zur Sauerstoffreduktion enthält, lässt sich darstellen, wie sich der Gebäudedruck in einem sehr dichten Gebäude aufbaut. Die Halle hat ein Innenvolumen von 46 400 Kubikmetern und eine beeindruckend niedrige Luftwechselrate bei 50 Pascal von 0,03 h-1.

Abb. 1 veranschaulicht den Aufbau des Gebäudedrucks (grüne Kurve) nach der Ansteuerung des Messgebläses (Minneapolis BlowerDoor Modell 4, Blende B). Das Messgebläse zeigt nach dem Einschalten einen steilen Verlauf des Gebläsedrucks (rote Kurve) von 0 auf ca. -350 Pascal. Dagegen steigt der Gebäudedruck (grüne Kurve) über mehrere Minuten vergleichsweise langsam von null Pascal Anfangsdruck auf etwa 50 Pascal Zieldruck. Die Kurve nähert sich asymptotisch dem Zielwert: Je näher sie an 50 Pascal herankommt, desto mehr flacht sie ab.

Das Messteam hat nach etwa fünf Minuten entschieden, dass der Zieldruck ausreichend genau erreicht ist, denn die rote und die grüne Messkurve verliefen nach dieser Zeit parallel zur Zeitachse. Das ist das Indiz dafür, dass keine gravierenden Änderungen des Gebäudedrucks mehr zu erwarten sind. Erst ab diesem Moment kann man von einem stabilen und konstanten Zustand ausgehen. Die Aufnahme der Messwerte für diesen Mess­punkt kann erfolgen. Anschließend werden die weiteren Messpunkte der Messreihe mit der gleichen Herangehensweise gemessen: Einstellung des Zielwerts für den Gebäudedruck, Wartezeit für den Druckaufbau ca. fünf Minuten und anschießend Aufnahme der Messwerte für diesen Gebäudedruck.

Die für den Druckaufbau erforderliche Zeit berechnen

In der Praxis ist es hilfreich, die Wartezeiten für den Druckaufbau in sehr dichten Objekten abschätzen zu können, um die Dauer der gesamten Luftdurchlässigkeitsmessung realistisch planen und die Messung sicher durchführen zu können. Ursache für die längeren Wartezeiten ist die Kompressibilität der Luft. Das ­zeigen Untersuchungen von Joachim Zeller [1]. Er stellt fest: Die Zeit bis zum Erreichen eines bestimmten Differenzdrucks ist umgekehrt proportional zur Luftwechselrate bei 50 Pascal.

In Abb. 2, die Wartezeiten für unterschiedliche Luftwechselraten darstellt, ist der Zusammenhang deutlich zu erkennen: Mit kleinen Luftwechselraten steigt die Wartezeit bis zum Erreichen eines stabilen Gebäudedrucks an. Bei einem n50-Wert von 3 h-1 (blaue Kurve) werden die gewünschten 50 Pascal Differenzdrücke innerhalb weniger Sekunden erreicht. Im Vergleich dazu liegt bei einer Luftwechselrate von 0,03 h-1 (graue Kurve) der Zieldruck auch nach 120 Sekunden noch in weiter Ferne.

Für die Messpraxis lässt sich vereinfachend mithilfe der Sieben-Sekunden-Regel abschätzen, welche Wartezeit mindestens eingeplant werden muss, um wiederholbare und belastbare Ergebnisse zu erzielen [1]:

  • tw (s) = Wartezeit bis zum Erreichen des Zieldrucks
  • n50 (h-1) = Luftwechselrate bei 50 Pascal Gebäudedruck
  • Randbedingung: Der Zieldruck wird mit einer Abweichung von ± 0,5 Pascal erreicht.

    Beispielrechnung: Bei einer Luftwechselrate von 0,1 h-1 würde die Wartezeit bei sieben geteilt durch 0,1 h-1 und damit bei 70 Sekunden liegen.

    Die berechneten Zeiten können in der Praxis aus unterschiedlichen Gründen leicht von den tatsächlichen Wartezeiten abweichen. Die Dauer zum Aufbau der Druckdifferenz verkürzt sich, wenn die Schrittweiten von 20 Pascal (70 Pascal, 50 Pascal, 30 Pascal, ...) verkleinert werden, zum Beispiel auf fünf Pascal (70 Pascal, 65 Pascal, 60 Pascal, ...). Die Wartezeit verlängert sich, je kleiner der Strömungsexponent der Leckagekurve ist.

    Zum Vergleich die Berechnung der Zeit für den Druckaufbau in der Lagerhalle: Mit einer Luftwechselrate von 0,03 h-1 dürften Messwerte nach der Sieben-Sekunden-Regel frühstens nach einer Wartezeit von etwa 233 Sekunden aufgenommen werden. In dem Beispiel begann das Messteam nach etwa 300 Sekunden mit der Aufnahme der Messwerte für diesen Zieldruck. Die berechnete Wartezeit wurde also noch überschritten und liegt damit auf der sicheren Seite.

    Wie sich Windgeschwindigkeit und bewegliche Folien ­auswirken

    Nicht bei jeder Messreihe sind die Messkurven und damit die Wartezeit eindeutig zu erkennen. Durch Wind verursachte Druckschwankungen an der Gebäudehülle erschweren es, den Zeitpunkt zu bestimmen, ab dem der Gebäudedruck ausreichend genau erreicht wird. Denn je stärker und böiger der Wind, desto größer und unregelmäßiger sind die ­Schwankungen. Daher ist auch bei diesen erschwerten Bedingungen die Sieben-Sekunden-Regel äußerst hilfreich.

    Ein weiterer Einflussfaktor, der die Messung mitunter erschwert, sind großflächige Folien im Inneren des Gebäudes. Das können beispielsweise die Dampfbremsfolie im Dachgeschoss eines Passivhauses oder einer Dachgeschosswohnung sein, die zum Messzeitpunkt noch nicht mit Gipskarton verkleidet ist oder die Dampfbremsfolie oberhalb der abgehängten Decke in einem Supermarkt.

    Beim Druckaufbau wölbt sich die Folie im Gegensatz beispielsweise zu einer feststehenden Wand aus Mauerwerk. Auch diese Beweglichkeit kann unter Umständen eine automatische Regelung der Messeinrichtung stören und die Wartezeit beeinflussen. Der Effekt lässt sich durch eine verlängerte Wartezeit auffangen.

    Empfehlungen für die Praxis

    Messgebläse bei sehr kleinen Luftwechselraten nicht ­nachregeln

    Um verlässliche und wiederholbare Messergebnisse bei sehr dichten Gebäuden zu erzielen, empfiehlt es sich, die Sieben-Sekunden-Regel zu verwenden. Dadurch wird ausreichend Zeit für den Druckaufbau bei jedem Messpunkt eingeplant. Teilt man die Zahl sieben durch die geforderte beziehungsweise geschätzte Luftwechselrate bei 50 Pascal Gebäudedruck, erhält man die notwendige Wartezeit in Sekunden.

    Bei einem n50-Wert von eins pro Stunde beträgt die Wartezeit für jeden Messpunkt mindestens sieben Sekunden, bei 0,6 h-1 sind es zwölf Sekunden, bei 0,1 h-1 sind es 70 Sekunden und bei 0,03 h-1 sind es 233 Sekunden.

    Jede Änderung der Volumenstromregelung am Blower-Door-Messsystem führt ebenfalls zu einer Verlängerung der Wartetezeit. Ein Eingriff in die Regelung bewirkt sozusagen einen Neubeginn der Aufbauzeit. Daher ist es sinnvoll, das Messgebläse bei sehr kleinen Luftwechselraten nicht unnötig nachzuregeln.

    Tipps zum Messen von verschiedenen Luftwechselraten

    Bei sehr kleinen Luftwechselraten ist es mit den gängigen Mess­programmen und den üblichen Voreinstellungen oftmals problematisch, das Messobjekt auf stabile und konstante Messwerte zu regeln. Bei Luftwechselraten von eins bis 0,6 h-1 ist es sinnvoll, das Gebläse beim Wechsel auf die nächste Druckstufe langsamer reagieren zu lassen.

    Eine halbautomatische Messung führt ab Luftwechselraten von 0,6 bis 0,3 h-1 zu guten Ergebnissen. Bei dieser Art der Messung regelt der Anwender per Hand das Messgebläse und bestimmt selbst, wann mit der Aufnahme der Messpunkte begonnen wird [5], [6].

    Sind die n50-Werte kleiner als 0,3 h-1, ist die Darstellung der Kurvenverläufe für Gebäudedruck und Volumenstrom mit einem Datenlogger-Programm zu empfehlen. Messteams können sie dann in Echtzeit verfolgen und die Messintervalle für die einzelnen Messpunkte gezielt auswählen [7].

    Fazit

    Luftdurchlässigkeitsmessungen sehr dichter Objekte wie großer Lagerhallen, die zum Beispiel aufgrund von Sauerstoffreduktion Luftwechselraten bei 50 Pascal von 0,03 h-1 aufweisen, oder Passivhäuser und Wohnungen mit n50-Werten teilweise weit unter 0,6 h-1 benötigen mehr Zeit. Die Dauer, die für den Druckaufbau jedes Messpunktes notwendig ist, um einen stabilen und konstanten Gebäudedifferenzdruck zu erreichen, ist um ein Vielfaches höher als bei gewöhnlichen Messungen.

    Diese Wartezeit hängt von der Luftwechselrate bei 50 Pascal des Gebäudes ab: Je dichter das Gebäude, desto länger dauert der Druckaufbau. Um dennoch wiederholbare und belastbare Messergebnisse zu erzielen, kann mithilfe der Sieben-Sekunden-Regel die erforderliche Wartezeit für den Druckaufbau abgeschätzt werden. Dabei dividiert man die Zahl sieben durch den n50-Wert, der gefordert beziehungsweise erwartet wird und erhält die Wartezeit in Sekunden.

    Bei Luftwechselraten unter 0,3 h-1 (der Druckaufbau braucht hier nach der Sieben-Sekunden-Regel mindestens 23 Sekunden) ist es außerdem sinnvoll, ein Messprogramm zu verwenden, das den Aufbau der Gebäudedruckdifferenzen in Echtzeit grafisch darstellt. Diese Darstellung erleichtert die Festlegung geeigneter Messintervalle und erhöht zudem die Transparenz der Messung.

    Literatur

    [1] Zeller, J. (2020): Dauer des Druckaufbaus bei Luftdichtheitsprüfungen sehr dichter Gebäude. In: Bauphysik 42, Heft 3, 2020, Ernst und Sohn

    [2] DIN EN 13829 (2001): Wärmetechnisches Verhalten von Gebäuden. Bestimmung der Luftdurchlässigkeit von Gebäuden. Differenzdruckverfahren (ISO 9972: 1996, modifiziert), deutsche Fassung EN 13829: 2000. Berlin: Beuth.

    [3] DIN EN ISO 9972 (2018): Wärmetechnisches Verhalten von Gebäuden - Bestimmung der Luftdurchlässigkeit von Gebäuden - Differenzdruckverfahren (ISO 9972:2015); deutsche Fassung EN ISO 9972:2015

    [4] Brennan, T., Nelson, G., Olson, C. (2013): Repeatability of Whole-Building Airtightness Measurements: Midrise Residential Case Study. In: Workshop on Building and Ductwork Airtightness Design, Implementation, Control and Durability: Feedback from Practice and Perspectives, Washington D.C.

    [5] Handbuch BlowerDoor Standard, www.bit.ly/geb1701

    [6] BlowerDoor MiniFan (2018), www.bit.ly/geb1702

    [7] Handbuch BlowerDoor MultipleFan (2018), www.bit.ly/geb1703

    [8] Leprince, V. (2018): Mesure d’étanchéité à l’air à petit débit

    Weitere Infos

    GEB 01-2018: Lücken und Fehler entdecken, www.bit.ly/ geb220202

    GEB 02-2019: Luftdichtheit – Eine Messung für alles?, www.bit.ly/ geb220201

    GEB EDITION

    Fachbeiträge zur Luftdichtheit in Gebäuden bietet unsere -EDITION „Luftdichtheit“:

    https://www.geb-info.de/luftdichtheit/edition-luftdichtheit


    GEB Dossier

    Grundlegende Informationen zum -Thema -finden Sie auch in -unserem Dossier Luftdichtheit mit -Beiträgen und News aus dem GEB:

    https://www.geb-info.de/themen/luftdichtheit


    Stefanie Rolfsmeier
    arbeitet als Diplom-Ingenieurin bei der Blower Door GmbH in Springe. Sie ist außerdem im Vorstand des Fachverbands Luftdichtheit im Bauwesen.

    Bild: Blower Door

    Jetzt weiterlesen und profitieren.

    Mit unserer Future Watt Firmenlizenz top informiert und immer auf dem neuesten Wissenstand in ihrem Fachgebiet.

    + Unbegrenzter Zugang zu allen Future Watt Inhalten
    + Vergünstigte Webinarteilnahme
    + E-Paper Ausgaben
    + Sonderhefte zu speziellen Themen
    + uvm.

    Wir haben die passende Lizenz für Ihre Unternehmensgröße!

    Mehr erfahren